
通用名:BIPB|BIBP|無味交聯劑|無味DCP|無味交聯劑雙BP|無味交聯劑BIPB
化學名:雙叔丁基過氧異丙基苯
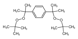
結構式:

分子式:C20H34O4
分子量:338
CAS NO: 25155-25-3
性質:
1,4-雙叔丁基過氧異丙基苯是一種高檔的交聯劑,主要由1,3-和1,4-異構體的混合物組成。本品為白色粉末,分子量338.49,理論活性氧9.45%,活化能36.1kcal/mol,半衰期120℃下10小時。
用途:
本品可作為氯化聚乙烯、三元乙丙橡膠、乙烯一醋酸乙烯共聚物、硅橡膠、丁腈橡膠、氟橡膠等塑料和橡膠的交聯劑。在同等交聯效果的情況下,添加量約為DCP的2/3,操作過程及制成品中刺激性臭味小。
本品可作為硅橡膠、乙烯—醋酸乙烯共聚物(如EVA發泡)、氯化聚乙烯橡膠(CPE)、三元乙丙橡膠(EPDM)、氯磺化聚乙烯、四丙氟橡膠(TP-2)、飽和氫化丁腈(HNBR)等橡膠和塑料的交聯劑。在同等交聯效果的情況下,添加量約為其他有機交聯劑的2/3。操作過程中及制成的制品中無刺激性臭味。特別適用于硅橡膠模壓硫化室內的軟線絕緣交聯及EVA發泡制品,如空調用橡套線纜、EVA發泡玩具等。用法:可在混煉時加入膠料使用,在要求交聯效果情況下,添加量為3份就可以完全交聯高分子聚合物。
包裝貯運:
內包裝PE塑料袋,每袋凈重5kg;外紙箱包裝,每箱凈重220kg。
存貯溫度為常溫,本產品不易變質。運輸時應避免曝曬和激烈震動,避免受熱,嚴禁與強酸、還原劑等共貯混運。
質量指標:
| 產品 | 外觀 | 含量 | 載體 |
| BIBP 96 | 白色或淡黃色粉末 | 96-100 | 無 |
| BIBP 40A | 白色或灰白色柱狀固體 | 38-42 | 碳酸鈣 白炭黑 |
| BIBP 40B | 白色或淡黃色粉末 | 38-42 | 碳酸鈣 白炭黑 |
| BIBP 40D | 白色或淡黃色粉末 | 38-42 | 高嶺土 |
| BIBP 40EM | 顆粒或片狀 | 38.5-41.5 | EP(D)M 碳酸鈣 白炭黑 |